1.規格型號和安規認證
MODEL NUMBER AND SAFETY CERTIFICATION
品名規格:系列號+額定電流+額定電壓+認證符號
Model Number: Part Number+Rated Current+Rated Voltage+Approvals.
例子[example]:
5CTV, 1A, 250V
1)系列號 Part Number
2)額定電流 Rated Current
3)額定電壓 Rated Voltage
1-2 額定電流和額定電壓
Rated Current And Voltage
額定電流:50mA~20A
Rated Current: 50mA~20A
額定電壓:250V AC
Rated Voltage:250V AC
1-3 標示 Marking
保險絲上需有下列標示 The fuse shall have the following marking:
規格:特性符號+額定電流+額定電壓 Specification:Characteristic Symbol+Rated Voltage
50mA~800mA : _mA250V 1A~20A: _A250V
Trade mark:The Manufacture’s Logo+Part Number+Approvals
50mA~20A:
注意:對標示字樣大小沒有規定
Note:Size of the markings have not be specified.
2.適用範圍 SCOPE
適用於一般電子設備。Used in electronic equipment.
3.工程圖和結構 OUTLINE DRAWING AND STRUCTURE
3-1 工程圖(單位:mm)Outline Drawing and Dimensions(Unit:mm)

3-2 結構 Structure
編號No. | 元件Component | 材質Material | 數量Quantity |
1 | 熔絲 Wire | 合金 Alloy | 1 |
2 | 銅帽 Cap | 黃銅鍍鎳 Brass with mickel plated | 2 |
3 | 本體 Body | 陶瓷管 Ceramic Tube | 1 |
4 | 引線 Lead | 鍍錫銅線 Tinned Copper wire | 2 |
5 | 砂 Sand | 石英砂 Quartz sand | 1 |
4.外觀及形狀
4.APPEARANCES AND CONFIGURATION
4-1 外觀:不應有破碎、明顯的汙斑
4-1 Appearances:There shall no fragmentation and of remarkable blotch.
4-2 形狀:帶腳的保險絲
4-2 Configuration:Axial Leaded Fuse.
5.物理特性
5.PHYSICAL CHARACTERISTIC
5-1 拉力測試
5-1 Tensile test
沿端子的軸向施加 10N 的拉力,持續 1 分鐘。
Keep pulling the cap of the fuse with 10N at axial direction for 1 min.
6.電氣特性
ELECTRICAL CHARACTERISTICS
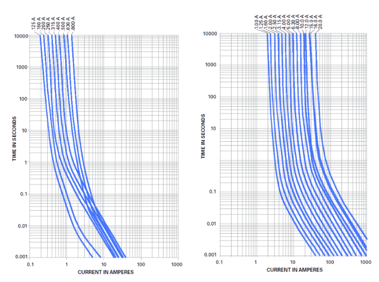
熔斷/電流特性:
Pre-Arcing Time/Current Characteristic
a、Breaking capacity(分断能力)(Time Lag and Fast Acting)
1000A 250V AC
b、Electrical characteristics
Fast Acting(国标、欧标CCC/VDE)
% of Ampere Rating | Ampere Rating | Opening Time |
150% | 50mA~6.3A | 60 minutes, Minimum |
8A~20A | 30 minutes, Minimum | |
210% | 50mA~20A | 30 minutes, Maximum |
275% | 50mA~800mA | .25 sec. Min.; 80 secs. Max. |
1A~20A | .75 sec. Min.; 80 secs. Max. | |
400% | 50mA~800mA | .05 sec., Min.; 5 secs. Max. |
1A~20A | .150 sec., Min.; 5 secs. Max. | |
1000% | 50mA~20A | .010 sec., Min.; .150 sec. Max. |
c、Temperature character
当100%的电流下温度上升不超过75℃
When 100% of rating the temperature rise doesn’t exceed 75℃.
d、Approvals:
Temperature Rerating Curve

Average Time Current Curves
T-C Curves for 125mA to 800mA T-C Curves for 1A to 20A
7.環境特性
7.ENVIRONMENTAL SPECIFICATION
7-1 操作溫度範圍:-5℃~60℃
7-1 Operating Temperature: -5℃~60℃
7-2 保存條件
7-2 Storage Conditions
溫度:+10℃~60℃
Temperature: +10℃~60℃
在相對濕度≤75%下平均可存放 3 年
在非露天下,相對濕度為 95%下最多可存放 30 天。
On average, It can be stored below the relative humidity or 75% for 3 years.
Without dew, It can be kept under humidity of 95% for 30 days.
8.焊接條件
8.SOLDERING PAAMETERS
8-1 波峰焊
8-1 Wave Solder
焊接溫度:260±5℃
Soldering Temperature:260±5℃
焊接時間:4 Sec. Max.
Soldering Time:4 Sec.Max.
8-2 手工焊錫
8-2 Manual Solder
焊接溫度:350±5℃
Soldering Temperature: 350±5℃
焊接時間:3 Sec. Max.
Soldering Time: 3 Sec. Max.
9.其他使用注意事項
9.OTHER NOTICE IN USING
如果需在保險絲上加熱縮套管,烘烤溫度與時間需參照以下規定
If heat shrink tubing was needed,the roast temperature and time should be refer to the following.
設定烘烤溫度:不大於 150℃ 烘烤時間:50s Max.
The temperature should be sel under 150℃,roast time:50s Max.

<
<
<

客服1